Have a personal or library account? Click to login
Touch-stimulation increases host-seeking behavior in Steinernema Carpocapsae
 Cover

Touch-stimulation increases host-seeking behavior in Steinernema Carpocapsae

Open Access
|Oct 2019

Figures & Tables

Figure 1:

(A) Chemotaxis assays performed on S. carpocapsae IJs after exposure to live and freeze-killed host cuticles, where +1 indicates strong attraction, near 0 indicates indifference, and −1 indicates strong repulsion. (B) Participation evaluation of S. carpocapsae IJs after exposure to live and freeze-killed host cuticles, where ‘to host volatiles’ indicates attraction, ‘middle’ indicates indifference, and ‘to control’ indicates repulsion toward our test volatile. Statistical significance was determined with an unpaired, one-way ANOVA test for CI, and two-way ANOVA testing for participation. Error bars represent SEM. ** P < 0.01; *** P < 0.001; **** P < 0.0001.
(A) Chemotaxis assays performed on S. carpocapsae IJs after exposure to live and freeze-killed host cuticles, where +1 indicates strong attraction, near 0 indicates indifference, and −1 indicates strong repulsion. (B) Participation evaluation of S. carpocapsae IJs after exposure to live and freeze-killed host cuticles, where ‘to host volatiles’ indicates attraction, ‘middle’ indicates indifference, and ‘to control’ indicates repulsion toward our test volatile. Statistical significance was determined with an unpaired, one-way ANOVA test for CI, and two-way ANOVA testing for participation. Error bars represent SEM. ** P < 0.01; *** P < 0.001; **** P < 0.0001.

Figure 2:

The chemotaxis index of S. carpocapsae IJs responding to four host-associated chemicals, where +1 indicates strong attraction, 0 indicates indifference, and −1 indicates strong repulsion. Statistical significance was determined with an unpaired, ordinary, one-way ANOVA test. Error bars represent SEM.
The chemotaxis index of S. carpocapsae IJs responding to four host-associated chemicals, where +1 indicates strong attraction, 0 indicates indifference, and −1 indicates strong repulsion. Statistical significance was determined with an unpaired, ordinary, one-way ANOVA test. Error bars represent SEM.

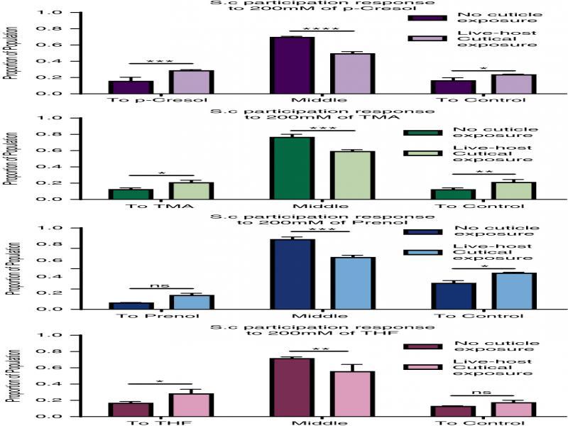
Figure 3:

Graphs of IJ participation in response to p-Cresol (4-methylphenol) (A), Trimethylamine (B), Prenol (C), and Tetrahydrofuran (D). We tested IJs exposed to live host cuticles and non-exposed IJs. The IJs either traveled toward the test volatile, stayed in the middle region, or moved away from the test volatile and toward the control.
Graphs of IJ participation in response to p-Cresol (4-methylphenol) (A), Trimethylamine (B), Prenol (C), and Tetrahydrofuran (D). We tested IJs exposed to live host cuticles and non-exposed IJs. The IJs either traveled toward the test volatile, stayed in the middle region, or moved away from the test volatile and toward the control.
DOI: https://doi.org/10.21307/jofnem-2019-067 | Journal eISSN: 2640-396X | Journal ISSN: 0022-300X
Language: English
Page range: 1 - 5
Submitted on: May 21, 2019
|
Published on: Oct 14, 2019
In partnership with: Paradigm Publishing Services
Publication frequency: 1 issue per year

© 2019 Tiffany Baiocchi, Lauren Braun, Adler R. Dillman, published by Society of Nematologists, Inc.
This work is licensed under the Creative Commons Attribution 4.0 License.