Figure 1:

Figure 2:

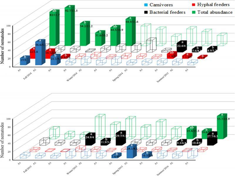
Figure 3:

Descriptive statistics of physico–chemical properties of the water retained in Neoregelia cruenta phytotelma, in areas with different levels of anthropic disturbance, in Restinga de Jurubatiba National Park, Brazil_
| Areas | ||||||
|---|---|---|---|---|---|---|
| 1a | 2 | 3 | ||||
| Properties | Mean (min-max) | SD | Mean (min-max) | SD | Mean (min-max) | SD |
| Temp (°C)b | 21.9 (20-26) | 2.1 | 22.1 (20-26) | 2.3 | 21.1 (20-29) | 2.6 |
| DO2 (mg/L) | 5.5 (2.7-8) | 1.2 | 5.6 (3.7-7.4) | 0.9 | 5.7 (3.2-8) | 1 |
| DS (mg/L) | 64.1 (12-381) | 55.1 | 69.8 (9-284) | 54.2 | 80 (8-247) | 56.6 |
| EC (mS/cm) | 0.09 (0.02-0.6) | 0.08 | 0.1 (0.01-0.4) | 0.08 | 0.1 (0.01-0.4) | 0.08 |
| pH | 6.1 (4.1-8.2) | 0.8 | 5.8 (4.5-6.8) | 0.6 | 5.6 (3.5-8.1) | 0.7 |
| Vol (mL) | 270.6 (25-845) | 171.2 | 271.1 (20-740) | 177.1 | 222.5 (37-910) | 157.9 |
| OD (g) | 13.4 (0.3-55.8) | 12.3 | 13.5 (1-61.4) | 12.4 | 13.7 (1-51) | 10.4 |
| DOC (mg/L) | 62.3 (13.2-210.7) | 42.8 | 78.7 (14.9-468.3) | 64.8 | 97.4 (15.9-574) | 108.5 |
| N (mg/L) | 4.1 (0.1-17.4) | 2.9 | 4.4 (0.1-10.8) | 2.7 | 4.2 (0.1-12.8) | 2.9 |
Mean number of nematodes in Neoregelia cruenta phytotelma in seasonal samplings in areas with different levels of anthropic disturbance, in Restinga de Jurubatiba National Park, Brazil_
| Season/year | Area | BFa | HF | C | Total abundance |
|---|---|---|---|---|---|
| Fall/2014 | 1b | 14.7a | 22a | 17b | 82.1ab |
| 2 | 9.9a | 18.5a | 57a | 92.7a | |
| 3 | 8.9a | 5.4b | 21.1b | 54.2b | |
| Winter/2014 | 1 | 2.4a | 5.8a | 8.9a | 31.6b |
| 2 | 9.7a | 9.6a | 14.6a | 44.5ab | |
| 3 | 14.4a | 4a | 11.5a | 64.9a | |
| Spring/2014 | 1 | 15.9a | 7.2a | 14.8a | 48a |
| 2 | 29.3a | 5.8a | 7.2a | 40.2a | |
| 3 | 3.8a | 4.2a | 9.1a | 22.9a | |
| Summer/2015 | 1 | 22.4a | 11.8ab | 9.9a | 40.9a |
| 2 | 7.6b | 7.1a | 9.2a | 34.5a | |
| 3 | 8.9b | 3b | 6.8a | 25.1a | |
| Fall/2015 | 1 | 12.8a | 4.5a | 8.4a | 24a |
| 2 | 6.9a | 1.5a | 6.7a | 12.9a | |
| 3 | 7.3a | 0.6a | 6.3a | 11.3a | |
| Winter/2015 | 1 | 24.9a | 9.1a | 16a | 53.9a |
| 2 | 11.9b | 5.9a | 16.1a | 35.4a | |
| 3 | 29.7a | 2.7a | 12.3a | 48.9a | |
| Spring/2015 | 1 | 8.5a | 6.5a | 7.6b | 28.7a |
| 2 | 7.7a | 4.3a | 28.1a | 41.7a | |
| 3 | 7.5a | 5.3a | 10.5b | 24.5a | |
| Summer/2016 | 1 | 9.3b | 3.3a | 12.2a | 25.4ab |
| 2 | 10.4b | 2.3a | 10.2a | 19.6b | |
| 3 | 27.7a | 4.6a | 18.2a | 55.7a |
Description and level of anthropic disturbance in three areas of Restinga de Jurubatiba National Park, Brazila_
| Levels | |||
|---|---|---|---|
| Description | Area 1 | Area 2 | Area 3 |
| Removal of vegetation due to road construction | 1b | 1 | 0 |
| Removal of vegetation for the establishment of commercial activities | 1 | 0 | 0 |
| Removal of vegetation of gardening/landscaping interest | 2 | 1 | 0 |
| Removal of vegetation for establishment of coconut plantation | 2 | 0 | 0 |
| Damage to vegetation due to human trampling | 2 | 2 | 0 |
| Littering on vegetation | 2 | 1 | 0 |
| Traffic of vehicles in the area | 2 | 1 | 1 |
| Establishment of housing | 2 | 0 | 0 |
| Sand removal for building purposes | 2 | 1 | 0 |
| Sum | 16 | 7 | 1 |
ANOVA of nematode abundance in Neoregelia cruenta phytotelma, in areas with different levels of anthropic disturbance, in Restinga de Jurubatiba National Park, Brazil_
| Sources of variation | Statistical parameters | Area | Season | Area×season | Error | R 2 |
|---|---|---|---|---|---|---|
| Bacterial feeders | MSEa | 123.3 | 363.3 | 393.5 | 94.7 | 0.5 |
| p-value | nsc | ***b | *** | – | – | |
| Hyphal feeders | MSE | 261.7 | 162.9 | 62.8 | 24.5 | 0.6 |
| p-value | *** | *** | ** | – | – | |
| Carnivores | MSE | 771.4 | 570.7 | 469.7 | 96.3 | 0.6 |
| p-value | *** | *** | *** | – | – | |
| Total abundance | MSE | 293.7 | 3877.7 | 1266.1 | 558 | 0.6 |
| p-value | ns | *** | ** | – | – |