Have a personal or library account? Click to login
Prognostic value of SMAD4 in resectable pancreatic cancer Cover

Prognostic value of SMAD4 in resectable pancreatic cancer

By: Hui Su and  Cunchuan Wang  
Open Access
|Aug 2022

Full Article

1
Introduction

Pancreatic cancer (PC) is currently the fourth leading cause of cancer-related death and is a fatal disease with a five-year overall survival (OS) rate of approximately 8% [1]. Up to now, surgery is the standard therapy for resectable PC [2]. Radiotherapy and chemotherapy are effective treatments, but they rarely cure [3]. Despite surgical resection, 70% of patients die from metastatic or locally recurrent disease, and only 20% to 25% of patients who survive after resection survive more than 5 years [4, 5].

SMAD4 is a co-factor that promotes gene transcription and tumor suppression through the TGF-beta signaling pathway. The TGF-beta/SMAD4 signaling pathway regulates tumor development by mediating growth arrest and inducing apoptosis [6, 7]. Previous studies have indicated that SMAD4 protein expression or SMAD4 gene mutation/deletion was associated with lymph node metastasis and TNM stage in patients with pancreatic cancer [8, 9], and was related to the shorter OS [10, 11]. However, a great deal of data were obtained from PC patients without resection.

In the present study, we aimed to perform a meta-analysis from the qualified publications and sought to assess whether the loss of SMAD4 gene expression predicted recurrence or survival after resection.

2
Materials and Methods
2.1
Search strategy

This meta-analysis was conducted according to the Preferred Reporting Items for Systematics Reviews and Meta-Analyses guidelines [12]. PubMed, Embase, and Web of Science were comprehensively searched up to December 31, 2020. Studies were selected using the following search terms: “SMAD4 or DPC4,” “pancreatic cancer,” “resection,” “recurrence,” and “overall survival.” The articles chosen through this search process and the references reviewed were also manually searched for additional studies for inclusion.

2.2
Study selection

The inclusion criteria were: 1) to study patients with PC, 2) to provide OS or recurrence data to evaluate the role of SMAD4 gene expression in the prognosis of PC patients, 3) to provide the hazard ratio (HR) with 95% confidence interval (CI), or to calculate these statistics in the data, 4) to divide SMAD4 gene expression into “high” and “low,” or “positive” and “negative”, 5) publication of the full text in English. The exclusion criteria were: 1) data from review, animal, or cell line studies; 2) no information on survival; and 3) publication in any language other than English. In cases of multiple publications on the same population, only the most recent or the most complete study was included in the analysis.

2.3
Data extraction and quality assessment

Two investigators independently reviewed each eligible article and extracted information from all publications meeting the inclusion criteria. The following information was collected from each study: the first author‘s name, publication year, country of study, number of patients, average or median age of patients, histology, disease stage, follow-up time, detection method, antibody used and its dilution, positive cut-off value, and OS data or recurrence data. OS was defined as the interval between initial diagnosis and death. Disease recurrence was divided into local recurrence and distant recurrence. The inconsistency in the research process was solved through debates and consultations. Each eligible study was evaluated using the Newcastle-Ottawa Quality Assessment Scale [13]. The scale comprises eight methodological items under three main dimensions: selection (4 items, 1 per item), comparability (1 item, up to 2 points), and outcome (3 items, 1 per item). The item scores are added to quantitatively compare the research quality. A higher score indicates higher quality. Score inconsistency was solved by discussion and negotiation.

2.4
Statistical methods

The HR and 95% CI were used to estimate the effect of SMAD4 gene expression deficiency on the prognosis of patients with PC. In multivariate analysis, the Cox regression model was used to calculate HRs (95% CIs). If HR (95% CI) was not directly provided in the literature, the authors were contacted to obtain more information, or this factor was calculated by the method provided by Tierney [14]. The homogeneity test of the effect was performed by χ2 test, and p ≤ 0.05 indicated that the difference was statistically significant. When the homogeneity assumption was not rejected, the set effect of the results was estimated by the fixed effect model. When the reverse held, the random effect model was also calculated. A sensitivity analysis was performed by deleting one study at a time to estimate the stability of the results. Publication bias was assessed using the Begg's and Egger ‘s test. All analyses were performed using Stata 12.0.

3
Results
3.1
Study characteristics

We searched articles from PubMed, Web of Science, and Embase, and found 46 potential related articles. After careful reading of titles, abstracts, tables, figures, and key data, 12 eligible articles [15, 16, 17, 18, 19, 20, 21, 22, 23, 24, 25, 26] were included for meta-analysis (Figure 1).

Fig. 1

Systematic flow diagram for selection of included studies

The characteristics of these studies are shown in Table 1 and Table 2. The expression of SMAD4 in all studies was evaluated by immunohistochemistry. The cutoff values of SMAD4 staining negative and positive were different in different studies. In 9 studies, positive results were determined by visible staining, while in other studies, different scores were used as thresholds. The included studies were of high quality.

Table 1

Overview of the reviewed studies

Author, YearCountryGroupNo. of patientsSex (male/female)Mean tumor size (mm)Mean ageLymph nodes metastasis (P/N)Margin status (R0/R1)Differentiation: Well and moderate / PoolLymphatic invasion (P/N)Vascular invasion (P/N)TNM stage I and II / III and IV
Oshima M 2013 [15]JapanSMAD4+SMAD4−10662/4426.533.96822/2050/1431/1144/2036/655/928/1454/1035/757/7----
Yamada S 2015 [16]JapanSMAD4+SMAD4−17444/2659/45----63.748/2284/20--------54/1694/1034/3664/40----
Herman JM 2018 [17]USASMAD4+SMAD4−14536/2145/43303063628/4918/8033/2455/33------------34/2356/32
Tascilar M 2001 [18]USASMAD4+SMAD4−25361/5078/60----71/4085/5379/3289/48--------8/926/8533/105
Biankin AV 2002 [19]AustraliaSMAD4+SMAD4−348190/158----64--------78/51------------
Xu JZ 2019 [20]ChinaSMAD4+SMAD4−23730/39102/66--------33/3675/93----54/15111/57----9/6033/13557/12129/39
Ottenhof NA 2012 [21]The NetherlandsSMAD4+SMAD4−7835/43------------52/2656/2154/23----20/58
Shen J 2019 [22]ChinaSMAD4+SMAD4−247120/6139/27--------95/8632/34137/4445/21--------51/13015/51----
Toga T 2004 [23]JapanSMAD4+SMAD4−886/737/38--------9/469/6----11/271/4--------5/812/63
Bachet JB 2012 [24]FranceSMAD4+SMAD4−471256/2153063351/120377/89390/67--------471/0
Winter JM 2013 [25]USASMAD4+SMAD4−127256/215--------------------------------
Shin SH 2017 [26]KoreaSMAD4+SMAD4−641374/267------------548/93543/81------------
Table 2

Overview of the reviewed studies

Author, YearCountryGroupHistologyFollow-up (Median/Months)MethodAntibody (Dilution)Cutoff (%)Study Quality Score
Oshima M 2013 [15]JapanSMAD4+SMAD4−PDAC62/44IHCSanta 1:100>08
Yamada S 2015 [16]JapanSMAD4+SMAD4−PDAC44/2659/45IHCSanta 1:100>07
Herman JM 2018 [17]USASMAD4+SMAD4−PDAC36/2145/43IHC---->07
Tascilar M 2001 [18]USASMAD4+SMAD4−PAC61/5078/60IHCSanta 1:100>09
Biankin AV 2002 [19]AustraliaSMAD4+SMAD4−PDAC190/158IHCSanta>57
Xu JZ 2019 [20]ChinaSMAD4+SMAD4−PDAC30/39102/66IHC--------7
Ottenhof NA 2012 [21]The NetherlandsSMAD4+SMAD4−PDAC35/43IHCSanta 1:300>08
Shen J 2019 [22]ChinaSMAD4+SMAD4−PDAC----IHC--------6
Toga T 2004 [23]JapanSMAD4+SMAD4−IDC6/737/38IHCSanta 1:100>106
Bachet JB 2012 [24]FranceSMAD4+PDAC54IHCSanta 1:50>09
Winter JM 2013 [25]USASMAD4−PDAC48IHCSanta 1:800>08
Shin SH 2017 [26]KoreaSMAD4+PDAC----IHCSanta 1:100>07
3.2
Loss of SMAD4 gene expression and OS in PC after resection

Nine studies [15, 16, 17, 18, 19, 20, 21, 22, 23] with a total of 1676 patients were qualified to estimate the correlation between SMAD4 gene expression deficiency and OS after resection. Realizing the possible confounding factors and significant heterogeneity between studies (I2 = 68.9 %, P = 0.001), adjusted by age, tumor size, differentiation, stage, lymph node status, and grade, the combined HR (95% CI) of the loss of SMAD4 gene expression for OS was 1.38 (0.98–1.81) (Figure 2).

Fig. 2

Forest plot showing the association between the loss of SMAD4 expression and OS in PC using multivariate analyses

3.3
Loss of SMAD4 gene expression and recurrence in PC after resection

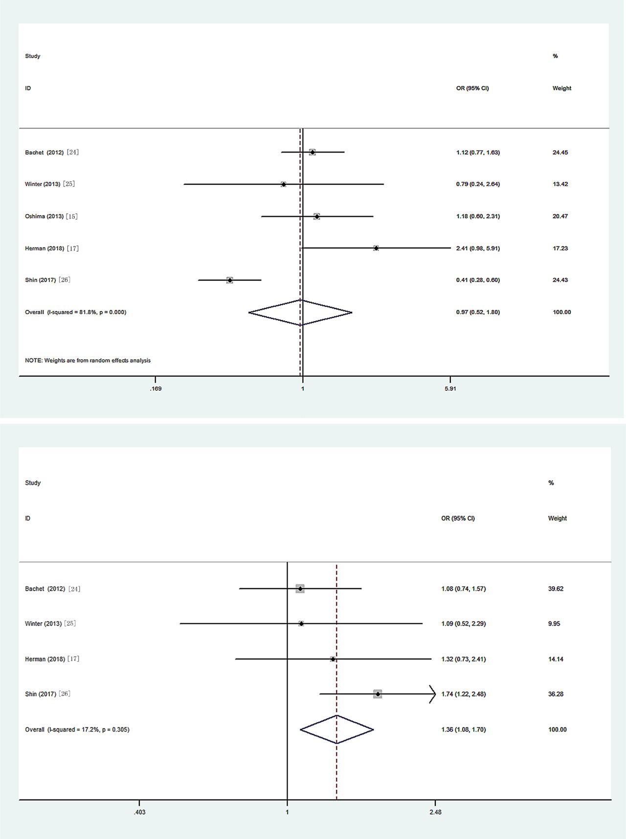
Five studies [15, 17, 21, 22, 23] comparing the loss of SMAD4 gene expression and recurrence were eligible in this meta-analysis. Regarding local recurrence, there were 5 relevant studies with a total of 664 patients. The heterogeneity was not statistically significant, with I 2=81.8% and P=0. The pooled OR (95% CI) of the loss of SMAD4 expression for local recurrence was 0.97 (0.52–1.80, P=0.914, Figure 3A). Moreover, distant recurrence was mentioned in 4 studies [17, 21, 22, 23] with a total of 558 patients. There was no significant heterogeneity with I 2=17.2% and P=0.305. The loss of SMAD4 gene expression was associated with a distant recurrence pattern (OR=1.36, 95% Cl [1.08 – 1.70], P=0.008, Figure 3B).

Fig. 3

Forest plot showing the association between the loss of SMAD4 expression and recurrence in PC. A. Local recurrence. B. Distant recurrence

3.4
Publication bias assessment

For the loss of SMAD4 gene expression and OS, we assessed publication bias using Begg ‘s funnel plot and Egger ‘s test (Figure 4). For our analysis, no funnel plot asymmetry was found. Moreover, neither Begg ‘s test nor Egger ‘s test showed significant funnel plot asymmetry (Begg ‘s test P=1.0, Egger ‘s test P=0.987). As for SMAD4 gene expression loss and recurrence, due to less included studies, we did not conduct publication bias assessment.

Fig. 4

Begg's funnel plot and Egger's funnel plot for all studies included in this meta-analysis

3.5
Sensitivity analysis

We used the leave-one-out method for sensitivity analysis, excluding one study each time to determine whether there was a single study affecting the results (Figure 5). But the results are stable and not significantly affected by any single study in our analysis.

Fig. 5

Effect of individual studies on the pooled HR for OS

4
Discussion

Previous studies have investigated the correlation between SMAD4 status and OS, yet none have yielded a consistent answer. After resection, Singh [27] indicated that SMAD4 protein loss was associated with significantly shorter OS. In contrast, Hua [28] and Khorana [29] found no overall survival association with SMAD4 status after surgical resection. In our meta-analysis, we found that the loss of SMAD4 gene expression was not associated with OS in patients with PC after resection. The pooled HRs (95% CIs) were 1.38 (0.98–1.81). In addition, among all the included studies, 5 studies [15, 17, 18, 22, 23] underwent resection plus chemotherapy and/or radiotherapy. Four of five studies [15, 17, 22, 23] indicated that postoperative adjuvant chemotherapy and/or radiotherapy failed to improve the prognosis of patients.

In recent years, SMAD4 gene expression was shown to be associated with disease progression in pancreatic ductal adenocarcinoma [30, 31], Studies with this result suggested the possible value of SMAD4 gene expression in prediction of locoregional patterns of PC progression. However, these data were from patients with locally advanced diseases and those who died of PC. Therefore, these data cannot be extrapolated to resectable PC patients. Herman et al. and Oshima et al. [15, 17] demonstrated that the loss of SMAD4 expression was associated with increased risk of local recurrence and distant failure, which was consistent with the evidence from a recently prospective cohort study [26]. However, our meta-analysis illustrated that the loss of SMAD4 gene expression was only associated with more distant recurrence, not with local recurrence, which is consistent with the findings by Boone and Tanaka [32, 33] that SMAD4 was useful in predicting worse prognosis, including development of metastatic disease.

The loss of SMAD4 gene expression was prevalent in pancreatic ductal adenocarcinoma, colorectal cancer, cholangiocarcinoma, and many other cancers with lower frequencies. The loss of SMAD4 gene expression was identified in 19 of 42 (45.2%) patients with intrahepatic cholangiocarcinoma and had a positive association with clinical stages [34]. Also, the rate of SMAD4 loss was positively correlated with the progression and metastasis of colorectal cancer [35, 36]. Additionally, SMAD4 acted as a direct target of miR-324-3p and promoted the progression of gastric cancer. This miR-324-3p-induced tumor growth can be reduced by restoring SMAD4 [37]. These data prompted us to conclude that the role of SMAD4 in cancer development may depend on the type of cancer.

The SMAD4 protein is an important component of transforming growth factor β (TGF-β) in the intracellular signaling pathway, which plays a pivotal role in tumor suppression through growth arrest. Therefore, loss of SMAD4 gene expression represents an important event in the development of pancreatic intraepithelial neoplasia into invasive malignancy [38]. The TGF-β signaling pathway can improve proliferation, migration, and epithelial-to-mesenchymal transition, which are related to the metastatic phenotype [39]. Thus, loss of SMAD4 gene expression enhances cell metastatic potential [40].

Several limitations of our meta-analysis must be mentioned. First, the number of studies included in our meta-analysis was small. Second, the included studies had significant heterogeneity. There was no assessment of how the variability in scoring immunohistochemistry positivity might impact the results. Third, although the included studies were retrospective, and most of them were high quality (Newcastle-Ottawa Scale >7), the possibility of a false-positive association cannot be excluded.

5
Conclusions

In conclusion, after PC resection, the loss of SMAD4 gene expression was correlated with higher risk of distant recurrence, but not with local recurrence and OS. Further studies, especially a large number of matched prospective studies, are needed to clarify the prognostic value of SMAD4 for the survival of patients with pancreatic cancer.

Language: English
Page range: 324 - 332
Submitted on: Jun 12, 2021
|
Accepted on: Oct 13, 2021
|
Published on: Aug 9, 2022
In partnership with: Paradigm Publishing Services
Publication frequency: 1 issue per year

© 2022 Hui Su, Cunchuan Wang, published by Hirszfeld Institute of Immunology and Experimental Therapy
This work is licensed under the Creative Commons Attribution-NonCommercial-NoDerivatives 4.0 License.