Systemic lupus erythematosus (SLE) is an extremely heterogeneous disease entity that remains incompletely understood by physicians and researchers, despite significant advances in diagnostic and therapeutic management (Kiriakidou and Ching 2020). SLE occurs in 40–150 people per 100,000 inhabitants of Europe and North America, far more often in women than men (a ratio of 4:1 in young people and up to 9:1 in the elderly) (Rivas-Larrauri and Yamazaki-Nakashimada 2016; Samotij 2018). The timing of the onset of symptoms is as varied as the disease itself, with 20%–30% of sufferers having childhood onset and the remainder having peri-menopausal age (Rivas-Larrauri and Yamazaki-Nakashimada 2016; Samotij 2018). Clinical symptoms are associated with systemic inflammation and include fatigue, weight loss, subfebrile states, skin manifestations (rashes, butterfly-shaped facial erythema, hair loss, ulceration), renal (glomerulopathies, proteinuria), neurological (seizures, neuropathies, psychiatric disorders), hematological (anemia, leukopenia, thrombocytopenia), serositis, arthritis, and myositis or enthesopathies (Samotij 2018; Fresneda Alarcon et al. 2021). The diagnosis and treatment of SLE require individualized management. The aim of treatment is mainly to reduce the activity of inflammatory processes, prevent their recurrence, and reduce the severity of distant organ complications (Samotij 2018). The prognosis of this disease entity includes 20-year survival in 75% of patients. Moreover, life of SLE patients is associated with a decrease in its quality as well as high treatment costs, reaching >4500 euros per year (Samotij 2018; Aringer et al. 2019).
A key role in the onset of the disease is played by a series of immune abnormalities triggered by the loss of tolerance to autoantigens (Samotij 2018). The production of autoantibodies, deposition of immune complexes, and the consequent activation of the complement system contribute to the development of SLE (Ohl and Tenbrock 2015). Excessive cell apoptosis along with a defect in cell phagocytosis has also been attributed to a significant role (Eloranta et al. 2013; Lambers et al. 2021). Another phenomenon that plays a potential part in the pathogenesis of SLE is neutrophil extracellular traps (NET) (Pieterse et al. 2015; Samotij 2018; Hamam and Palaniyar 2019). This is a type of neutrophil cell death, primarily associated with loss of the plasma membrane, chromatin decondensation, and destruction of the indistinct nuclear envelope of cells (Koike et al. 2022). These phenomena result in the release and shedding of the network of DNA fibers coated with citrullinated, acetylated, and methylated histones H1, H2A, H2B, H3, and H4 (about 70% of the proteins in the network) and some neutrophil granular elements (elastase, cathepsin G, lactoferrin, myeloperoxidase, and gelatinase) after stimulation of the cell by an appropriate stimulus—exogenous molecules (bacteria, viruses, fungi, and parasites) as well as endogenous ones (sodium urate crystals, interleukin [IL]-8, tumor necrosis factor [TNF]-α, or phorbol 12-myristate 13-acetate [PMA]) (Pieterse et al. 2015; Hamam and Palaniyar 2019). The role of the NET is to eliminate microorganisms and have a chemotactic effect on immune cells (Pieterse et al. 2015; Samotij 2018). In addition to this function, NET has also been attributed to a role in the pathogenesis of autoimmune diseases due to the large amounts of antigens in the network that can target autoantibodies (Pieterse et al. 2015). One such antigen is citrullinated histone H3 (H3Cit), which is formed by the conversion of arginine to citrulline in the histone molecule involving peptidylarginine deiminase (PAD) at the time of NET formation and release (Chapman et al. 2019). The PAD family includes six enzymes (PAD1-6), responsible for the citrullination process. Under physiological conditions, they determine the proper differentiation of keratinocytes (PAD1, PAD3) and the functioning of the nervous (PAD2), immune (PAD2, PAD4), and reproductive (PAD6) systems. The activation of this isoform occurs through an increase in cytosolic calcium ion concentration, accompanying the process of NETosis. PAD4 then citrullinates histones in neutrophils, causing chromatin decondensation by altering protein charges, which results in their “excision” from chromatin and release into the extracellular space (Bruggeman et al. 2021; Ciesielski et al. 2022; Mansouri et al. 2024). Excessive PAD4 activity and excessive histone citrullination can lead to the loss of immune tolerance to these proteins and lead to the development of autoimmune diseases (Ciesielski et al. 2022; Mansouri et al. 2024). Modified histone H3 has been the subject of studies aimed at confirming its involvement in the pathogenesis of autoimmune diseases such as SLE (especially in nephritis), rheumatoid arthritis, systemic scleroderma, primary biliary cholangitis, multiple sclerosis, and type 1 diabetes (Sharma et al. 2012; Araki and Mimura 2017). So far, its role in disrupting the processes of immune tolerance to one's own antigens by stimulating dendritic cells (DCs) to secrete IL-6, TNF-α, and interferon (IFN)-α and activating further inflammatory responses has been proven (Pieterse et al. 2015). The secretion of pro-inflammatory cytokines is also stimulated by citrullinated vimentin, which is formed in excess by the over-activation of PAD4 (Ciesielski et al. 2022). The determination of H3Cit levels has been associated with higher disease activity as expressed by an SLEDAI-2K score ≥6 (Nurbaeva et al. 2023). Moreover, H3Cit can also serve as a marker of cancer and as a predictor of mortality in cancer patients (Ciesielski et al. 2022; Wannberg et al. 2024). Results from studies in animal models indicate that PAD4 and H3Cit may be potential therapeutic targets in autoimmune diseases, including SLE. This is due to the inhibition of Th1 lymphocyte polarization and the toll-like receptor-7 (TLR-7)-dependent pathway (Liu et al 2018; Ciesielski et al. 2022; Mansouri et al. 2024). Other molecular factors and signaling pathways have also been implicated in the pathogenesis of SLE: JAK/STAT, TYK-2, IFN, PTPN22, and PI3K/Akt/mTORC1 (Sandling et al. 2021; Garantziotis et al. 2022). The above information demonstrates the importance of understanding the exact role of H3Cit and NETosis in SLE, particularly due to their potential therapeutic implications.
The aim of this study was to assess markers reflecting NETosis phenomenon—citrullinated histones H3—as potential factors correlated to clinical characteristics of SLE patients.
Patients were diagnosed at the Department of Rheumatology and Connective Tissue Diseases at the Medical University of Lublin. The study involved 80 patients, who were included based on the following criteria: a diagnosis of SLE according to the 2019 EULAR/ACR diagnostic criteria (Aringer et al. 2019) and age >18 years. Exclusion criteria were as follows: active infection and any coexisting or previous cancer. All procedures complied with ethical standards and the Declaration of Helsinki. All participants were informed about the purpose and conduct of the study and signed an informed consent form to participate in the study. Approval was obtained from the Bioethics Committee (KE-0254/21/2016).
Serum collected from the venous blood of patients included in the study was used to determine H3Cit levels. H3Cit concentration was measured according to the manufacturer's instructions using the EpiQuik Global Mono-Methyl Histone H3K4 Quantification Kit (Colorimetric) (Cat. No. P-3024-96, Epigentek, New York, USA). The test was performed in a 96-well plate to which diluted standards (1.5 ng/μL, 3 ng/μL, 6 ng/μL, 12 ng/μL, 25 ng/μL, 50 ng/μL, and 100 ng/μL) and patient sera suspended in 50 μL antibody buffer were added. The whole plate was incubated at room temperature for 2 h, after which the plate was washed three times (150 μL) with Wash Buffer (Wellwash Versa Microplate Washer, Thermo Scientific, Waltham, USA). In the next step, detection antibody (1:1000) was added and incubated for 1 h at room temperature. After washing six times, the plate was incubated (for 10 min) with Color Developer (100 μL), and the reaction was stopped with Stop Solution (50 μL). Absorbance at 450 nm was measured, and H3Cit concentration was estimated from the standard curve using a Multiskan FC Multiplate Photometer (Thermo Scientific). In addition, patients underwent routine blood laboratory tests, including, in which morphological (red blood cells [RBC], hemoglobin, white blood cells [WBC], neutrophils, lymphocytes, platelets, and erythrocyte sedimentation rate [ESR]), biochemical (C-reactive protein [CRP], total protein, creatinine, and glomerular filtration rate), and immunological (rheumatoid factor [RF], antinuclear antibodies, anti-Sjögren's-syndrome-related antigen A antibodies, anti-Sjögren's-syndrome-related antigen B antibodies, anti-topoisomerase I [Scl-70] antibodies, anti-ribosomal P [Rib-P] antibodies, anti-ribonucleoprotein [anti-RNP], anti-double stranded DNA [anti-dsDNA] antibodies, anti-neutrophil cytoplasmic antibodies, perinuclear anti-neutrophil cytoplasmic antibodies, anti-Smith antigen antibodies [anti-Sm], anti-histidyl-tRNA synthetase [anti-Jo-1] antibodies, anti-beta2-glycoprotein antibodies [anti-beta2-GPI-2], anti-cyclic citrullinated peptide [anti-CCP], anti-cardiolipin [anti-Cl] antibodies, lupus anticoagulant [LAC], anti-mitochondrial antibodies, anti-smooth muscle antibodies, anti-nucleosomes antibodies [aNuA], anti-histone, immunoglobulin G [IgG], immunoglobulin M [IgM], immunoglobulin A [IgA], double stranded DNA [dsDNA], complement component 3 [C3], and complement component 4 [C4]). Daily collection and urinalysis were also performed.
The results obtained were submitted for statistical analysis. MedCalc 15.8 (MedCalc Software, Ostend, Belgium) and Statistica 13.3 (TIBCO Software Inc., Palo Alto, USA) software were used to perform the analysis. A p-value <0.05 was considered the cut-off for statistical significance. The D'Agostino-Pearson test was used to analyze the normality of the distribution of continuous variables. Since most continuous variables present non-normal data distribution, median and interquartile range (IQR) were used for the descriptive statistics measures of central tendency and dispersion. Differences in H3Cit levels according to specific demographic and clinical factors in the study group were examined using the Mann–Whitney U-test. Analysis of the receiver operating characteristic (ROC) curves was used to determine the utility of H3Cit in differentiating disease forms and specific clinical and laboratory characteristics. Spearman's rank correlation test was used to assess the correlation between H3Cit levels and selected clinical and laboratory characteristics (continuous variables).
The study included 80 patients with SLE (88.7% women and 11.3% men). The median age of the patients was 36.5 years (min–max: 19–72 years). The median age at which the first symptoms of SLE occurred was 27 years (min–max: 7–69 years) and at diagnosis was 29 years (min–max: 14–69 years). Slightly more than half of the patients (53.7%) reported having autoimmune comorbidities, and 68.7% had other comorbidities. The most common type of SLE was renal (35%). Fewer were diagnosed with the cutaneous (25%) and articular forms of lupus (21.3%). The most common symptom of the disease reported by patients was fatigue (76.3%). Dermatological symptoms such as mucosal erosions (70%), prominent skin lesions (67.5%), and photosensitivity (67.5%) were also among the common ones. Arthritis was observed in 53.7% of patients, and joint pain was reported by as many as 73.7% of patients. The most common symptom indicative of kidney damage was proteinuria (58.7%), with one in four patients having >150 mg in a daily urine collection. In addition, 21.3% had hematuria, 10% had sterile leukocyturia, and 8.7% had excessively high creatinine level (>1.3 mg/dL). Chronic kidney disease was diagnosed in 11.3% of patients. Hepatomegaly was present in 6.3% and splenomegaly in 10%. Almost 25% of the patients had anemia (hemoglobin [HGB] level <12 g/dL). Elevated CRP protein levels were observed in 23.7% of patients (>5 mg/L). Patients also underwent a panel of immunological tests, looking for the presence of antibodies. Anti-dsDNA antibodies were demonstrated in 75% of patients. Antibodies were also frequently detected: SS-A (42.5%), SS-B (17.5%), RF in IgM (21.3%), anti-Sm (22.5%), anti-RNP (17.5%), anti-Cl in IgM (31.3%), and IgG (26.3%). Decreased levels of complement component C3 were found in 65% of subjects and complement component C4 in 46.3%. Detailed data showing the characteristics of demographic–clinical and laboratory factors of the study group are included in Table 1 and Table S1 in Supplementary Material.
General characteristic of the study group
| Variables | N (%) or Median (IQR), [min–max] |
|---|---|
| Sex | |
| Male | 9 (11.3%) |
| Female | 71 (88.7%) |
| Age (years) | 36.5 (31–48), [19–72] |
| Age at first symptoms (years) | 27 (21–36), [7–69] |
| Age at diagnosis (years) | 29 (23–38), [14–69] |
| Duration of the disease (years) | 6 (2–13), [0–37] |
| Form of the disease | |
| Renal | 28 (35%) |
| Hematological | 7 (8.7%) |
| Cutaneous | 20 (25%) |
| Neurological | 3 (3.75%) |
| Neuropsychiatric | 8 (10%) |
| Arthritic | 17 (21.3%) |
| Glomerulonephritis class | |
| 1B | 1 (1.3%) |
| II | 1 (1.3%) |
| III | 1 (1.3%) |
| IV | 2 (2.5%) |
| V | 1 (1.3%) |
| No | 74 (92.5%) |
| ANA | 1 (1–1), [0–1] |
| H3 level [ng/mL] | 1.7 (1.6–1.8), [1.6–1.8] |
| dsDNA level [IU/mL] | 44.8 (14–107), [6–900] |
| C3 level [mg/dL] | 90.9 (71–105), [25–177] |
ANA, antinuclear antibodies; C3, complement component 3; dsDNA, double stranded DNA; IQR, interquartile range.
The relationship between H3Cit levels and demographic–clinical parameters in the study group of SLE patients was analyzed. One of the most common symptoms of lupus reported by patients is joint pain. It was shown that in patients complaining of joint pain, H3Cit levels were significantly higher than in patients who denied the onset of this symptom (median (IQR): 1.68 (1.67–1.69) [ng/μL] vs. 1.67 (1.62–1.68) [ng/μL], respectively, p = 0.0150; Figure 1a). It was observed that H3Cit concentrations were significantly higher in patients with reduced levels of the C4 component of the complement system than in those with normal levels of this component (median (IQR): 1.68 (1.67–1.70) [ng/μL] vs. 1.68 (1.67–1.69) [ng/μL], respectively, p = 0.0297; Figure 1b). Detailed data showing the differences in H3Cit levels in the study group according to clinical factors are included in Table 2.

Box–whisker plots presenting the comparison of the occurrence of arthralgia (A) and reduced C4 levels (B) depending on H3Cit levels [ng/μL]. The graphs show a statistically significant difference in H3Cit levels along with their median and IQR in patients with (1) and without (0) arthralgia (median [IQR], respectively: 1.68 ng/μL [1.67–1.69] vs. 1.67 ng/μL [1.62–1.68]) and reduced C4 levels (median [IQR], respectively: 1.68 ng/μL [1.67–1.70] vs. 1.68 ng/μL [1.67–1.69]). C4, complement component 4; H3Cit, citrullinated histone H3; IQR, interquartile range.
Differences in H3Cit levels depending on clinical factors in the study group
| Variables | N (%) | Median (IQR) [ng/μL] | p |
|---|---|---|---|
| Photosensitivity | |||
| Yes | 54 (67.5) | 1.68 (1.67–1.69) | 0.3238 |
| No | 26 (32.5) | 1.68 (1.66–1.69) | |
| Skin lesions | |||
| Yes | 54 (67.5) | 1.68 (1.67–1.69) | 0.3238 |
| No | 26 (32.5) | 1.68 (1.66–1.69) | |
| Mucosal erosions | |||
| Yes | 56 (70) | 1.68 (1.67–1.69) | 0.7761 |
| No | 24 (30) | 1.68 (1.67–1.69) | |
| Fatigue | |||
| Yes | 61 (76.3) | 1.68 (1.67–1.69) | 0.1070 |
| No | 19 (23.7) | 1.67 (1.62–1.68) | |
| Fever | |||
| Yes | 19 (23.7) | 1.68 (1.67–1.68) | 0.1478 |
| No | 61 (76.3) | 1.68 (1.67–1.69) | |
| Raynaud's syndrome | |||
| Yes | 7 (8.8) | 1.68 (1.68–1.70) | 0.3654 |
| No | 73 (71.2) | 1.68 (1.67–1.69) | |
| Hair loss | |||
| Yes | 33 (41.3) | 1.68 (1.67–1.69) | 0.7760 |
| No | 47 (58.7) | 1.68 (1.67–1.69) | |
| Myopathy | |||
| Yes | 5 (6.2) | 1.68 (1.68–1.69) | 0.5548 |
| No | 75 (93.7) | 1.68 (1.67–1.69) | |
| Vasculitis | |||
| Yes | 15 (18.8) | 1.68 (1.67–1.69) | 0.4118 |
| No | 65 (81.2) | 1.68 (1.67–1.69) | |
| Arthritis | |||
| Yes | 43 (53.7) | 1.68 (1.67–1.69) | 0.4140 |
| No | 37 (46.3) | 1.68 (1.67–1.69) | |
| Arthralgia | |||
| Yes | 59 (73.7) | 1.68 (1.67–1.69) | 0.0150* |
| No | 21 (26.3) | 1.67 (1.62–1.68) | |
| Pleuritis | |||
| Yes | 7 (8.8) | 1.68 (1.68–1.70) | 0.1695 |
| No | 71 (91.2) | 1.68 (1.67–1.69) | |
| Pericarditis | |||
| Yes | 6 (7.5) | 1.69 (1.66–1.73) | 0.5550 |
| No | 74 (92.5) | 1.68 (1.67–1.69) | |
| Epilepsy | |||
| Yes | 6 (7.5) | 1.68 (1.62–1.69) | 0.6779 |
| No | 74 (92.5) | 1.68 (1.67–1.69) | |
| Seizures | |||
| Yes | 2 (2.5) | 1.70 (1.69–1.70) | 0.1377 |
| No | 78 (97.5) | 1.68 (1.67–1.69) | |
| Psychosis | |||
| Yes | 2 (2.5) | 1.68 (1.68–1.68) | 0.6879 |
| No | 78 (97.5) | 1.68 (1.67–1.69) | |
| Other neurological symptoms | |||
| Yes | 24 (30) | 1.68 (1.67–1.68) | 0.6434 |
| No | 56 (70) | 1.68 (1.67–1.69) | |
| Proteinuria | |||
| Yes | 47 (58.7) | 1.68 (1.67–1.69) | 0.8916 |
| No | 33 (41.3) | 1.68 (1.67–1.68) | |
| Hematuria | |||
| Yes | 17 (21.3) | 1.68 (1.67–1.70) | 0.6015 |
| No | 63 (78.7) | 1.68 (1.67–1.69) | |
| Chronic kidney disease | |||
| Yes | 9 (11.3) | 1.67 (1.61–1.69) | 0.3404 |
| No | 71 (88.7) | 1.68 (1.67–1.69) | |
| Sterile leukocyturia | |||
| Yes | 8 (10) | 1.68 (1.67–1.75) | 0.4880 |
| No | 72 (90) | 1.68 (1.67–1.69) | |
| Hemolytic anemia | |||
| Yes | 4 (5) | 1.69 (1.64–1.74) | 0.7776 |
| No | 76 (95) | 1.68 (1.67–1.69) | |
| Hepatomegaly | |||
| Yes | 5 (6.3) | 1.69 (1.68–1.72) | 0.0728 |
| No | 75 (93.7) | 1.68 (1.67–1.69) | |
| Splenomegaly | |||
| Yes | 8 (10) | 1.68 (1.67–1.76) | 0.3252 |
| No | 72 (90) | 1.68 (1.67–1.67) | |
| Lymphadenopathy | |||
| Yes | 4 (5) | 1.68 (1.67–1.68) | 0.9180 |
| No | 76 (95) | 1.68 (1.67–1.69) | |
| RF-IgM | |||
| Yes | 17 (21.3) | 1.68 (1.67–1.70) | 0.1784 |
| No | 63 (78.7) | 1.68 (1.67–1.69) | |
| SSA | |||
| Yes | 34 (42.5) | 1.68 (1.68–1.70) | 0.0924 |
| No | 46 (57.5) | 1.68 (1.67–1.69) | |
| SSB | |||
| Yes | 14 (17.5) | 1.69 (1.67–1.70) | 0.1292 |
| No | 66 (82.5) | 1.68 (1.67–1.69) | |
| Scl-70 | |||
| Yes | 2 (2.5) | 1.65 (1.60–1.70) | 0.8440 |
| No | 78 (97.5) | 1.68 (1.67–1.69) | |
| Rib-P | |||
| Yes | 13 (16.3) | 1.68 (1.67–1.68) | 0.3734 |
| No | 67 (83.7) | 1.68 (1.67–1.69) | |
| Anti-dsDNA | |||
| Yes | 60 (75) | 1.68 (1.67–1.69) | 0.8589 |
| No | 20 (25) | 1.68 (1.67–1.69) | |
| pANCA | |||
| Yes | 3 (3.7) | 1.67 (1.67–1.67) | 0.4525 |
| No | 77 (96.3) | 1.68 (1.67–1.69) | |
| Anti-Sm | |||
| Yes | 18 (22.5) | 1.68 (1.67–1.70) | 0.7655 |
| No | 62 (77.5) | 1.68 (1.67–1.69) | |
| Anti-RNP | |||
| Yes | 22 (27.5) | 1.68 (1.67–1.70) | 0.8519 |
| No | 58 (72.5) | 1.68 (1.67–1.69) | |
| Anti-Jo-1 | |||
| Yes | 1 (1.3) | 1.61 (1.61–1.61) | 0.1320 |
| No | 79 (98.7) | 1.68 (1.67–1.69) | |
| Anti-beta-2-GPI-2 IgM | |||
| Yes | 5 (6.3) | 1.68 (1.65–1.70) | 0.9354 |
| No | 75 (93.7) | 1.68 (1.67–1.69) | |
| Anti-beta-2-GPI-2 IgG | |||
| Yes | 6 (7.5) | 1.68 (1.67–1.70) | 0.6187 |
| No | 74 (92.5) | 1.68 (1.67–1.69) | |
| Anti-CCP | |||
| Yes | 1 (1.3) | 1.70 (1.70–1.70) | 0.2481 |
| No | 79 (98.7) | 1.68 (1.67–1.69) | |
| Anti-Cl IgM | |||
| Yes | 25 (31.3) | 1.68 (1.67–1.71) | 0.0528 |
| No | 55 (78.7) | 1.68 (1.67–1.69) | |
| Anti-Cl-IgG | |||
| Yes | 21 (26.3) | 1.68 (1.67–1.70) | 0.0808 |
| No | 59 (73.7) | 1.68 (1.67–1.69) | |
| Reduced level of C3 | |||
| Yes | 52 (65) | 1.68 (1.67–1.69) | 0.1491 |
| No | 28 (35) | 1.68 (1.67–1.68) | |
| Reduced level of C4 | |||
| Yes | 37 (46.3) | 1.68 (1.67–1.70) | 0.0297* |
| No | 43 (53.7) | 1.68 (1.67–1.69) | |
| LAC | |||
| Yes | 17 (21.3) | 1.68 (1.67–1.69) | 0.6171 |
| No | 63 (78.7) | 1.68 (1.67–1.69) | |
| ASMA | |||
| Yes | 1 (1.3) | 1.70 (1.67–1.70) | 0.2692 |
| No | 79 (98.7) | 1.68 (1.67–1.69) | |
| aNuA | |||
| Yes | 11 (13.7) | 1.68 (1.67–1.68) | 0.3707 |
| No | 69 (86.3) | 1.68 (1.67–1.69) | |
| Anti-histone | |||
| Yes | 9 (11.3) | 1.68 (1.67–1.70) | 0.5807 |
| No | 71 (88.7) | 1.68 (1.67–1.69) | |
| IgG | |||
| Yes | 28 (35) | 1.68 (1.67–1.70) | 0.5690 |
| No | 52 (65) | 1.68 (1.67–1.69) | |
| Median (range) | 0 (0–2781) | ||
| IgM | |||
| Yes | 28 (35) | 1.68 (1.67–1.70) | 0.5690 |
| No | 52 (65) | 1.68 (1.67–1.69) | |
| Median (range) | 0 (0–312) | ||
| IgA | |||
| Yes | 28 (35) | 1.68 (1.67–1.70) | 0.5690 |
| No | 52 (65) | 1.68 (1.67–1.69) | |
| Median (range) | 0 (0–551) | ||
| Autoimmune comorbidities | |||
| Yes | 56 (53.7) | 1.68 (1.67–1.69) | 0.2908 |
| No | 24 (46.3) | 1.68 (1.67–1.68) | |
| Other comorbidities | |||
| Yes | 43 (68.7) | 1.68 (1.67–1.69) | 0.5356 |
| No | 37 (32.3) | 1.68 (1.67–1.70) | |
| Solu-Medrol i.v. during hospitalization | |||
| Yes | 22 (27.5) | 1.68 (1.67–1.71) | 0.0761 |
| No | 58 (72.5) | 1.68 (1.67–1.69) | |
| Glucocorticoids p.o. | |||
| Yes | 67 (83.7) | 1.68 (1.67–1.69) | 0.1169 |
| No | 13 (16.3) | 1.66 (1.65–1.69) | |
Statistically significant results.
anti-beta-2-GPI-2, anti-beta2-glycoprotein; anti-Cl, anti-cardiolipin; anti-dsDNA, anti-double stranded DNA; anti-Jo-1, anti-histidyl-tRNA synthetase; anti-RNP, anti-ribonucleoprotein; anti-Sm, anti-Smith antibody; ANuA, anti-nucleosomes antibody; ASMA, anti-smooth muscle antibody; AUC, area under the curve; C3, complement component 3; C4, complement component 4; CI, confidence interval; H3Cit, citrullinated histone H3; IgA, immunoglobulin A; IgG, immunoglobulin G; IgM, immunoglobulin M; IQR, interquartile range; LAC, lupus anticoagulant; pANCA, perinuclear anti-neutrophil cytoplasmic antibody; RF, rheumatoid factor; Rib-P, anti-ribosomal P; Scl-70, anti-topoisomerase I; SLE, systemic lupus erythematosus; SSA, anti-Sjögren's-syndrome-related antigen A; SSB, anti-Sjögren's-syndrome-related antigen B.
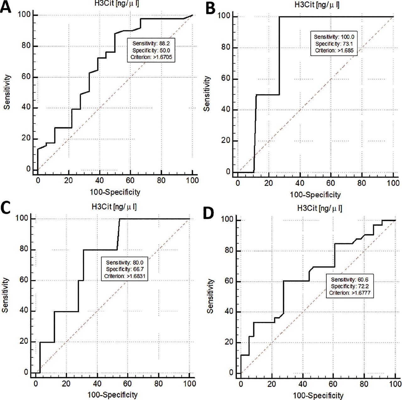
The utility of H3Cit in diagnosing particular symptoms and clinical conditions in the course of SLE was also analyzed. However, H3Cit was shown to have 88.24% sensitivity and 50% specificity in differentiating patients reporting joint pain (area under the curve [AUC] = 0.709, 95% confidence interval [CI] = 0.598–0.812, p = 0.0115; Figure 2a). In addition, it was examined that in differentiating patients with seizures, H3Cit had 100% sensitivity and 73.13% specificity (AUC = 0.813, 95% CI = 0.701–0.896, p = 0.0005; Figure 2b). In addition, H3Cit was detected to have 80% sensitivity and 68.75% specificity in differentiating patients with hepatomegaly (AUC = 0.746, 95% CI = 0.628–0.843, p = 0.0111; Figure 2c). We also analyzed the relationship between the level of H3Cit expression and other serological exponents of lupus. It was observed that in differentiating patients with reduced levels of complement component C4, H3Cit had 60.61% sensitivity and 72.22% specificity (AUC = 0.662, 95% CI = 0.539–0.771, p = 0.0224; Figure 2d). Detailed data showing the utility of H3Cit in detecting SLE and specific clinical factors in the study group are included in Table 3.

ROC curves presenting the diagnostic utility of H3Cit concentration [ng/μL] in detection of arthralgia (A), seizures (B), hepatomegaly (C) and reduced C4 level (D) in the course of SLE. They present the specificity and sensitivity of H3Cit as a differentiation tool for patients with: arthralgia (spec: 55%, sens.: 88.2%, cut-off point: >1.6705 ng/μL), seizures (spec: 73. 1%, sens.: 100%, cut-off point: >1.685 ng/μL), hepatomegaly (spec: 66.7%, sens.: 80%, cut-off point: 1.6831 ng/μL) and reduced C4 level (spec: 72.2%, sens.: 60.6%, cut-off point: >1.6777 ng/μL). C4, complement component 4; H3Cit, citrullinated histone H3; ROC, receiver operating characteristic; SLE, systemic lupus erythematosus.
Evaluation of diagnostic usefulness of H3Cit histones in the detection of SLE and specific clinical conditions by means of ROC curve analysis
| Variables | AUC [95% CI] | Sensitivity (%) | Specificity (%) | Cut-off point | p |
|---|---|---|---|---|---|
| Form of SLE | 0.505 [0.381–0.628] | 0.00 | 82.69 | ≤1.6482 | 0.9502 |
| Form of SLE | 0.609 [0.483–0.725] | 28.00 | 97.67 | ≤1.6432 | 0.1445 |
| Form of SLE | 0.605 [0.479–0.722] | 66.67 | 72.31 | ≤1.6473 | 0.5391 |
| Form of SLE | 0.621 [0.495–0.736] | 41.18 | 88.24 | >1.6941 | 0.1495 |
| Form of SLE | 0.585 [0.460–0.704] | 85.71 | 50.82 | >1.6765 | 0.4126 |
| Photosensitivity | 0.573 [0.448–0.692] | 95.65 | 21.74 | >1.6213 | 0.3230 |
| Skin lesions | 0.573 [0.448–0.692] | 95.65 | 21.74 | >1.6213 | 0.3286 |
| Mucosal erosions | 0.522 [0.398–0.644] | 95.52 | 28.57 | >1.6705 | 0.7637 |
| Raynaud's syndrome | 0.618 [0.495–0.732] | 83.33 | 51.56 | >1.6765 | 0.2509 |
| Myopathy | 0.595 [0.471–0.710] | 100.00 | 50.00 | >1.6762 | 0.3022 |
| Vasculitis | 0.579 [0.455–0.696] | 100.00 | 25.00 | >1.6632 | 0.3253 |
| Arthritis | 0.570 [0.446–0.688] | 97.22 | 20.59 | >1.6904 | 0.3144 |
| Arthralgia | 0.709 [0.589–0.812] | 88.24 | 50.00 | >1.6705 | 0.0115* |
| Pleuritis | 0.676 [0.553–0.783] | 83.33 | 62.50 | >1.6786 | 0.0633 |
| Pericarditis | 0.586 [0.462–0.703] | 40.00 | 92.31 | >1.7043 | 0.6493 |
| Epilepsy | 0.543 [0.420–0.663] | 33.33 | 92.19 | ≤1.6202 | 0.7663 |
| Seizures | 0.813 [0.701–0.896] | 100.00 | 73.13 | >1.6485 | 0.0005* |
| Other neurological symptoms | 0.524 [0.401–0.625] | 76.19 | 38.78 | ≤1.6831 | 0.7434 |
| Proteinuria | 0.521 [0.398–0.642] | 25.00 | 92.31 | ≤1.685 | 0.7640 |
| Hematuria | 0.551 [0.427–0.670] | 29.41 | 90.57 | >1.7012 | 0.5546 |
| Chronic kidney disease | 0.638 [0.515–0.750] | 40.00 | 96.67 | ≤1.6122 | 0.2516 |
| Sterile leukocyturia | 0.583 [0.459–0.699] | 37.50 | 95.16 | >1.7116 | 0.5099 |
| Hemolytic anemia | 0.549 [0.426–0.669] | 50.00 | 84.85 | >1.6961 | 0.8207 |
| Hepatomegaly | 0.746 [0.628–0.843] | 80.00 | 68.75 | >1.6831 | 0.0111* |
| Splenomegaly | 0.620 [0.496–0.734] | 42.86 | 88.89 | >1.7012 | 0.3965 |
| Lymphadenopathy | 0.510 [0.388 to −0.631] | 100.00 | 34.33 | ≤1.6839 | 0.9522 |
| RF IgM | 0.621 [0.497–0.735] | 53.33 | 70.91 | >1.6831 | 0.1407 |
| SSA | 0.628 [0.505–0.741] | 83.33 | 45.00 | >1.6733 | 0.0571 |
| SSB | 0.657 [0.534–0.766] | 70.00 | 68.33 | >1.6812 | 0.1579 |
| Scl-70 | 0.533 [0.410–0.653] | 50.00 | 95.59 | ≤1.6032 | 0.9377 |
| Rib-P | 0.570 [0.446–0.688] | 76.92 | 54.39 | ≤1.6767 | 0.4425 |
| Anti-dsDNA | 0.505 [0.383–0.627] | 24.07 | 93.75 | >1.6929 | 0.9489 |
| pANCA | 0.647 [0.524–0.758] | 100.00 | 54.41 | ≤1.6762 | 0.2012 |
| Anti-Sm | 0.533 [0.410–0.653] | 33.33 | 87.27 | >1.6961 | 0.7340 |
| Anti-RNP | 0.504 [0.382–0.626] | 50.00 | 64.58 | ≤1.6746 | 0.9620 |
| Anti-beta-2-GPI-2 IgM | 0.505 [0.383–0.627] | 40.00 | 83.08 | ≤1.6602 | 0.9792 |
| Anti-beta-2-GPI-2 IgG | 0.574 [0.450–0.691] | 80.00 | 43.08 | >1.6749 | 0.5843 |
| Anti-Cl IgG | 0.642 [0.518–0.753] | 55.00 | 72.00 | >1.6815 | 0.0658 |
| Anti-Cl IgM | 0.654 [0.531–0.764] | 66.67 | 67.35 | >1.6777 | 0.0519 |
| Reduced level of C3 | 0.593 [0.469–0.709] | 52.17 | 75.00 | >1.6777 | 0.1896 |
| Reduced level of C4 | 0.662 [0.539–0.771] | 60.61 | 72.22 | >1.6777 | 0.0224* |
| LAC | 0.534 [0.411–0.654] | 100.00 | 12.50 | ≤1.6733 | 0.6995 |
| aNuA | 0.579 [0.455–0.696] | 100.00 | 33.33 | ≤1.6855 | 0.3135 |
| Anti-histone | 0.548 [0.425–0.668] | 77.78 | 52.46 | ≤1.6767 | 0.6798 |
| Autoimmune comorbidities | 0.586 [0.462–0.703] | 62.86 | 60.00 | >1.6777 | 0.2186 |
| Other comorbidities | 0.556 [0.433–0.675] | 95.92 | 23.81 | ≤1.7043 | 0.4718 |
| Solu-Medrol i.v. during hospitalization | 0.642 [0.519–0.753] | 42.86 | 93.88 | >1.6961 | 0.0642 |
| Glucocorticoids p.o. | 0.652 [0.529–0.762] | 81.97 | 66.67 | >1.6717 | 0.2019 |
Statistically significant results.
anti-beta-2-GPI-2, anti-beta2-glycoprotein; anti-CCP, anti-cyclic citrullinated peptide; anti-Cl, anti-cardiolipin; anti-dsDNA, anti-double stranded DNA; anti-RNP, anti-ribonucleoprotein; anti-Sm, anti-Smith antibody; ANuA, anti-nucleosomes antibody; AUC, area under the curve; C3, complement component 3; C4, complement component 4; CI, confidence interval; H3Cit, citrullinated histone H3; IgA, immunoglobulin A; IgG, immunoglobulin G; IgM, immunoglobulin M; LAC, lupus anticoagulant; pANCA, perinuclear anti-neutrophil cytoplasmic antibody; RF, rheumatoid factor; Rib-P, anti-ribosomal P; ROC, receiver operating characteristic; Scl-70, anti-topoisomerase I; SLE, systemic lupus erythematosus; SSA, anti-Sjögren's-syndrome-related antigen A; SSB, anti-Sjögren's-syndrome-related antigen B.
There was a weak negative correlation between H3Cit levels and WBC count (rho = −0.2602, p = 0.0309; Figure 3a) and lymphocyte count (rho = −0.2788, p = 0.0204; Figure 3b). In addition, a weak positive correlation between H3Cit and dsDNA levels was observed (rho = 0.3794, p = 0.0036; Figure 3c). Moreover, a weak negative correlation was also examined between H3Cit levels and complement component C3 levels (rho = −0.2442, p = 0.0447; Figure 3d). Detailed data showing correlations between H3Cit levels and certain clinical and laboratory factors in the study group are included in Table 4.

Scatter diagram showing the correlation between WBC count [G/L] and H3Cit [ng/μL] (A), lymphocyte count [G/L] and H3Cit concentration [ng/μL] (B), dsDNA level [IU/mL] and H3Cit concentration [ng/μL] (C) and C3 level [mg/dL] and H3Cit concentration [ng/μL] (D). They show that in the study group, as the value of the H3Cit level increases, the level of dsDNA increases significantly, and the count of WBC and lymphocytes and the level of C3 decreases. C3, complement component 3; dsDNA: double stranded DNA; H3Cit, citrullinated histone H3; LYM, lymphocytes; WBC, white blood cells.
Correlation between selected clinical and laboratory factors and H3Cit level
| Variables | rho | p |
|---|---|---|
| Age (years) | −0.0768 | 0.5307 |
| Duration of the disease (years) | −0.1070 | 0.3890 |
| RBC [T/L] | −0.1942 | 0.1099 |
| HGB [g/dL] | −0.1864 | 0.1251 |
| WBC [G/L] | −0.2602 | 0.0309* |
| NEUTR [G/L] | −0.2159 | 0.0748 |
| LYM [G/L] | −0.2788 | 0.0204* |
| PLT [G/L] | −0.0448 | 0.7148 |
| OB [mm/h] | −0.0260 | 0.8322 |
| CRP [mg/L] | 0.1302 | 0.2861 |
| Total protein [g/dL] | −0.0373 | 0.7612 |
| Creatinine [mg/dL] | −0.1178 | 0.3350 |
| GFR [mL/min/1.73 m2] | −0.0042 | 0.9729 |
| Glomerulonephritis class | 0.3770 | 0.4615 |
| ANA [IU/mL] | −0.0475 | 0.6983 |
| dsDNA [IU/mL] | 0.3794 | 0.0036* |
| C3 [mg/dL] | −0.2442 | 0.0447* |
| IgG [mg/dL] | 0.0939 | 0.4430 |
| IgM [mg/dL] | 0.0686 | 0.5755 |
Statistically significant results
ANA, antinuclear antibody; C3, complement component 3; CRP, C-reactive protein, dsDNA, double-stranded DNA, GFR, glomerular filtration rate; H3Cit, citrullinated histone H3; HGB, hemoglobin; IgG, immunoglobulin G; IgM, immunoglobulin M, LYM, lymphocytes; NEUTR, neutrophils; OB, erythrocyte sedimentation rate; PLT, platelets; RBC, red blood cells; WBC, white blood cells.
The production of autoantibodies by B lymphocytes, deprived of the inhibitory effect of Treg lymphocytes and overstimulated by effector CD4+ lymphocytes, contributes to the development of SLE. These antibodies, as a result of reaction with antigens of the patient's body, form immune complexes, which, deposited in the tissues, cause the induction of inflammation, with subsequent activation of the complement system and the cytokine cascade, leading to tissue destruction and to the failure of the involved organ (Ohl and Tenbrock 2015). Abnormal apoptosis also plays a significant role in the development of lupus, which, combined with a defect in phagocytosis of cellular debris, leads to the accumulation of post-apoptotic material (Eloranta et al. 2013; Samotij 2018; Fresneda Alarcon et al. 2021). The DNA, RNA, and ribonucleoproteins released from the dead cells are among the autoantigens that play a role in further disease progression (Pisetsky 2020).
NETosis, another type of cell death, also plays an important function in the development of SLE, particularly in skin and kidney pathology (Salemme et al. 2019). Serological markers of this phenomenon include myeloperoxidase activity (MPO), anti-myeloperoxidase (anti-MPO), cell-free DNA (cfDNA), and neutrophil elastase. H3Cit is one of the most specific markers of NETosis, especially for the early stage of the process (Ronchetti et al. 2022). In addition, its role as a marker of NETosis in SLE has been demonstrated in a mouse model, especially for lupus renal pathology (Saisorn et al. 2021). Epigenetic changes, including modifications of DNA, non-coding RNA, and histones, also play a major role in disease induction. Post-translational changes in histone structure (hypoacetylation, methylation, and citrullination) affect the state of nuclear chromatin compaction and DNA repair processes and thus the expression of genes encoding molecules that stimulate CD4+ lymphocyte activity and pro-inflammatory cytokines (including TNFSF7, HPK1, TNF, ITGAL, CD8A, CD8B, and IL-2) (Relle et al. 2015; Farivar and Shaabanpour Aghamaleki 2018; Mazzone et al. 2019). Stimulation by the above factors determines overexpression of CD70 and CD11a molecules on CD4+ lymphocytes, enhanced monocyte maturation, and synthesis of pro-inflammatory cytokines, stimulating an autoimmune response (Zhou et al. 2011; Farivar and Shaabanpour Aghamaleki 2018). The aforementioned modified histones present in post-apoptotic or post-NET (H3Cit) material are significantly more immunostimulatory than those remaining inside intact cells (Pieterse et al. 2015).
Some researchers look to modified histones as diagnostic material for SLE, emphasizing the advantage of determining the expression of these proteins (especially acetylated or methylated H2A, H3, and H4) and antibodies against them over testing for anti-dsDNA or aNuA (Dieker et al. 2016; Shang et al. 2021). Modified histones would be among the main targets of lupus autoantibodies, particularly for detecting post-apoptotic material. Unfortunately, anti-histones antibodies are much less common in SLE patients compared to anti-dsDNA or aNuA antibodies, as they are found in 30-50% of them (van der Vlag and Berden 2011; Shang et al. 2021; Irure-Ventura and Lopez-Hoyos 2022). This may be due to the greater number of antigens available for anti-dsDNA and aNuA antibodies than for anti-histone antibodies (Irure-Ventura and López-Hoyos 2022) In this study, anti-histone antibodies were present in 11.3%, aNuA in 13.7%, and anti-dsDNA in 75.0% of patients.
There is also a discussion about the relationship between modified histone expression and SLE activity. Mazzone et al. (2019), collecting results from in vitro studies in their review, concluded that sources available to date have not shown statistically significant correlations between modified histone levels and SLE activity. Similar conclusions were reached by Gautam et al. (2021) in a study involving 20 SLE patients (10 with active disease and 10 in remission) and 10 healthy subjects. They showed that histone H3 and H4 modifications can be observed in the lymphocytes of SLE patients (median levels of histones H3 and H4, respectively: 3.92 ± 1.234 ng/mg proteins, p < 0.0001 and 134 ± 78 pg/mg proteins, p = 0.0090), but there was no statistically significant difference in their levels depending on disease activity as assessed by the SLEDAI scale. Price et al. (2012), in a study on sera collected from 30 patients, noted that the level of selected H2B epitopes correlates with disease activity through increased levels of type 1 IFN, secreted by plasmacytoid DCs, which are involved in SLE pathogenesis (p < 0.05, q = 0 in Significance Analysis of Microarrays (SAM) microarray significance analysis). Dieker et al. (2016), in a study on sera of 178 patients (102 patients with renal involvement and 76 without, of which 15 patients with disease exacerbation according to SLEDAI), proved that modified histone H2 and H4 molecules have a strong correlation with SLE activity on the SLEDAI score, particularly with the severity of lupus renal injury (rho = 0.45, p < 0.0001 and rho = 0.42, p = 0.0100, respectively). Antibodies against H2B and H4 had high sensitivity (69.1%, p < 0.01 and 88.8%, p < 0.01, respectively) and specificity (95.7%, p < 0.01 and 91.3%, p < 0.01, respectively) in detecting SLE and determining its activity, both before and during treatment. In contrast, anti-H3 antibodies had high sensitivity (87.6%, p < 0.01) but much lower specificity (20%, p < 0.01) in detecting the disease (Dieker et al. 2016). Cortés-Hernández et al. (2004) reached similar conclusions, showing that in identifying patients at increased risk of developing lupus nephritis among 121 patients with SLE, antibodies to histones (OR = 9.4, 95% CI = 4–16, p < 0.05) and anti-dsDNA (OR = 6, 95% CI = 2–24, p < 0.05) have similar predictive value. The presence of histone H3Cit as an indicator of NETosis in SLE has been confirmed by histopathological studies in damaged glomeruli in patients with lupus renal pathology (Senda et al. 2022). This indicates a potential role for NETosis and modified H3 as components of renal damage. In this study, there was no statistically significant association between renal involvement and H3Cit expression levels. Some studies also suggest that the degree of histone H3 modification correlates negatively with disease activity according to SLEDAI (rho = −0.889, p = 0.044) (Hu et al. 2008). Similar associations related to disease activity and the form of lupus were not observed in the current study.
One of the most frequently reported symptoms by patients with SLE is joint pain (up to 90% of patients) (Ceccarelli et al. 2022). This is associated with joint pathology in the course of SLE, which most often (80%–85% of patients) progresses as a benign, non-erosive disease, manifesting only as pain in the involved areas. The rarer, erosive form of this pathology occurs in 3%–5% of patients (Ceccarelli et al. 2022). In this study, the onset of joint pain was shown to be associated with higher levels of H3Cit, with this form of modified histone having high sensitivity (88.24%) and moderate specificity (50%) in differentiating patients with this symptom. Ceccarelli et al. (2022), in their review, found that the value of laboratory markers of lupus joint pathology (for the mild form of the disease: IL-6 and IL-17A; for the erosive form: RF, anti-citrullinated peptide antibodies, and metalloproteinases (MMP-3, MMP-12)) depends on its form and the degree of deformity and destruction on radiological studies. IL-6 and IL-17A are cytokines of the IFN-α pathway, the stimulation of which is responsible for NETosis. Therefore, the presence of markers of this process can also be seen as an exponent of non-destructive joint involvement in SLE.
One of the most difficult-to-treat and least understood forms of SLE is neuropsychiatric lupus. It occurs in 56.3% of patients with SLE, and some of the main symptoms of it are seizures (Rodriguez-Hernandez et al. 2021). The following study showed that H3Cit had a very high sensitivity in differentiating patients with seizures, while no such was found relationship for antibodies in SLE. Hawro et al. (2015) indicated a significantly higher risk (11-fold) of seizures in patients with higher levels of antiphospholipid antibodies (OR = 11.25, 95% CI = 1.32–31.91, p < 0.05) and against β-2 glycoprotein (anti-β2-GPI) (OR = 11.25, 95% CI = 2.01–62.97, p = 0.010), while Malik et al. (2007) noted a reduced incidence in patients with SS-B antibodies present (0% vs. 10.9%, p < 0.0096). On the other hand, Sim et al. (2022), based on a review of publications, noted that NETosis plays a significant role in the development of neuropsychiatric lupus due to its involvement in blood–brain barrier damage (exposure of neurons to the immune system) and activation of inflammatory processes in brain tissue (stimulation of production of pro-inflammatory cytokines—IFN-α and IL-6).
Many researchers have observed that NETosis also affects laboratory markers of SLE. Hakkim et al. (2010), in a study on 61 SLE patients, observed impaired NET degradation, which stimulates the production of autoantibodies, which in turn results in elevated anti-dsDNA levels in laboratory tests (p < 0.001). Dieker et al. (2016) showed positive correlations between H3 and H2 and ds-DNA levels (rho = 0.27, p = 0.036 and rho = 0.60, p < 0.001, respectively). In addition, they observed a positive correlation between H3 and complement C3 (rho = 0.08, p = 0.547) and negative correlations between H2 and H4 and complement C3 (rho = −0.37, p = 0.03 and rho = −0.29, p = 0.023, respectively). Jeremic et al. (2019), in a study on 111 SLE patients, also observed that the intensity of NETosis expressed by the level of its markers (DNase I, MPO, anti-MPO, and cfDNA) correlates with increased production of anti-dsDNA antibodies (rho = 0.258, p < 0.050; rho = 0.303, p < 0.010; rho = 0.519, p < 0.001; and rho = 0.492, p < 0.001, respectively). They also showed an association in linear regression analysis between disease activity on the SLEDAI scale and MPO and DNase I levels as its predictors (respectively: Beta = 0.002, 95% CI = 0.00–0.003, p < 0.046 and Beta = 0.338, 95% CI = 0.04–0.58, p < 0.026) (Jeremic et al. 2019). This relationship is thought to be mediated by B lymphocytes via B-cell activating factor (BAFF) (Leffler et al. 2012; Jeremic et al. 2019). A correlation between the concentration of another NET component, calprotectin, and the levels of C3 and dsDNA has also been demonstrated (rho = −0.429, p = 0.0012, rho = 0.325, p = 0.277, respectively) (Homa-Mlak et al. 2022). In this study, we similarly observed a correlation between H3Cit levels as a specific marker of NETosis and dsDNA and C3 levels. There was also a correlation between increased H3Cit levels and decreased C4 levels. This parameter as a differentiator between patients with decreased C4 levels had a specificity of 72.22% and a sensitivity of 60.61%. The reason for this phenomenon may be that histones H3 and H4 released from the cell as a result of NETosis bind strongly to the C4b region of complement, leading to inhibition of the further cascade of complement activation through the classical and lectin pathways, also reducing the concentration of the next components C3 and C5 in this pathway by blocking the respective convertases (Qaddoori et al. 2018; Weinstein et al. 2021). This enhances the use of an alternative pathway of complement activation stimulated by intense inflammatory processes, including the type 1 IFN pathway induced by NETosis, resulting in the consumption of the C3 component and the subsequent decrease in its concentration, characteristic of SLE (Weinstein et al. 2021). The NETosis phenomenon plays a proven role in the pathogenesis of SLE, and its exponents, which include H3Cit, appear to be another marker of some of the symptoms and conditions that develop in the course of lupus.
The limitations of this study primarily include the relatively small study group and its low heterogeneity in terms of demographic characteristics. Moreover, the study was single-center and observational in nature. In addition, a healthy control group was not included. The small differences between the measured H3Cit concentrations are also a limitation, allowing us to determine the statistical significance of their values for some parameters.
NETosis plays an important role in the pathogenesis of SLE, especially in its renal form. H3Cit, as one of the laboratory markers of this phenomenon, is useful in the detection of some clinical conditions (hepatomegaly and arthralgia) in the course of SLE. The level of H3Cit also correlates with the level of characteristic exponents of SLE, such as a reduced level of C3 or anti-dsDNA. This suggests that H3Cit seems to be a useful marker in looking for some features of already developed SLE in its course. Another important issue is the usefulness of H3Cit in the diagnosis of SLE and other autoimmune diseases, which is a topic for future research.