Skip to main content
Have a personal or library account? Click to login
Integrated information modeling-based cloud-connected ultrasound diagnostic systems Cover

Integrated information modeling-based cloud-connected ultrasound diagnostic systems

Open Access
|Jun 2025

Full Article

Introduction

Ultrasound imaging is invaluable in contemporary health care thanks to its real-time imaging feature, safety, portability, and lack of ionizing radiation [1, 2]. Point-of-care diagnostics, emergency treatment, and telemedicine practices are all increasingly embracing portable ultrasound machines, which allow clinicians to conduct bedside tests and remote consultations [3, 4].

With the increasing popularity of cloud computing in healthcare, the integration of mobile ultrasound systems into cloud-based infrastructures is an attractive trend [5, 6]. Cloud platforms offer on-demand scalability in data storage, distributed computing, and hosting to provide machine learning applications for real-time image assessment and diagnosis support [7, 8]. Additionally, cloud integration allows clinicians to access, share, and retrieve diagnostic information from anywhere, reducing the diagnostic latency and improving continuity of care [9].

Despite these advantages, several challenges crop up in merging ultrasound equipment with cloud infrastructures. They are latency concerns, data protection, anomaly detection, energy conservation, and interoperability between devices-to-devices and hospital systems [10, 11]. It takes robustsystem structure and adaptable data processing methodologies to ensure persistent diagnostic quality amidst shifting network situations [12].

In order to address such challenges, in this research, it is recommended that an Integrated Information Modeling (IIM) paradigm be adopted for cloud-connected portable ultrasound diagnostic devices. The system is developed according to a modular design model that specifies the device’s acquisition logic, signal processing process, communication interfaces, and diagnostic feedback loop. This model-based approach enhances interoperability, upgradability, and adaptability—essential characteristics in engineering scalable medical technologies [13, 14]. In the process of biomedical device design, these formal models ease the creation of adaptable, network-aware diagnostic systems in accordance with today’s requirements for healthcare systems [15].

Aside from the modularity of its system architecture, this work uses a machine learning (ML)-enabled anomaly detection capability to monitor for diagnostic signal quality and network-dependent performance deteriorations. Making use of public waveform datasets extended with artificially simulated operational metadata such as latency, device temperature, and packet loss, the system learns diagnostic features and runs unsupervised ML models to determine anomalies like signal loss, overheating of a device, and transmission delay. This configuration allows for real-time diagnostic return and cloud-sensing optimization for improving system dependability and yielding predictable behavior under networked deployment environments [16, 17].

While previous research has centered on the convergence of ultrasound, AI, and cloud technologies in areas such as emergency response, maternal healthcare, and cardiovascular screening [1820], few have combined signal-level intelligence with a system-focused, deployable approach. This paper contributes to the addition of a practical and scalable solution for portable ultrasound systems that supports predictive diagnostics, cloud-interfaced telemetry, and anomaly-resilient operation.

Methodology
System Design and Modeling

The architecture was obtained via a modular flow diagram that represents the sequential and functional components of a cloud-connected ultrasound diagnostic pipeline. The components include signal acquisition, conceptual image enhancement, DICOM-type data encapsulation, cloud interfacing with transmission metadata recording, feature extraction, and machine learning-based anomaly detection (Figure 1). The modular architecture supports interoperability and scalability, allowing integration of real-time diagnostic feedback and cloud-based analytics into portable ultrasound systems.

Figure 1.

Block diagram of the proposed diagnostic pipeline for cloud-connected ultrasound systems using real pulse-echo signal data.

Dataset and Signal Acquisition

Ultrasound waveform data were collected from a publicly available simulated dataset [21] that mimics pulse-echo waveforms from well-integrity tests. Each waveform consists of 281 time-sampled points and is the unprocessed backscatter signal. We simulated cloud-related metadata such as signal transmission delay (in ms), device temperature (°C), and packet loss rate (%) to mimic operational parameters typically found in portable or cloud-streamed ultrasound systems [5, 8, 9].

Signal Processing and Feature Extraction

Each waveform was processed to provide a diagnostic and transmission-conscious feature set. These included the peak amplitude values (MaxAmp and MinAmp), statistical descriptors such as mean and standard deviation (MeanAmp and StdAmp), and the onset-to-offset duration (OSD_duration), which was the duration between the first and last samples that were greater than 10% of the maximum amplitude. Additional characteristics were derived to define transmission integrity, including the number of silent gaps (i.e., the number of samples with amplitude <0.001 within a specified window) and local noise level, which is derived as the standard deviation in a background segment. Operational metadata such as signal delay in milliseconds (SignalDelay_ms), device temperature in Celsius (DeviceTemp_C), and packet loss rate were simulated and appended to each record to mimic cloud-induced transmission effects.

Anomaly Simulation and Labeling

For the generation of realistic diagnosis faults, each sample was labeled with one out of four predefined anomaly types as a function of thresholds set to simulated metadata. Undistorted samples were labeled as normal, while signal loss was defined as a packet loss ratio greater than 8%, transmission delay as latency greater than 100 milliseconds, and overheating as a temperature greater than 50°C. These are representative of normal operating anomalies encountered in portable and edge-deployed ultrasound devices [6, 12, 18].

Machine Learning-Based Anomaly Detection

Three of the unsupervised machine learning algorithms were applied to detect anomalies using the discovered set of features. The first, Isolation Forest (IForest), relies on outlier detection by considering the path length it travels to isolate individual points in a forest of random binary trees [22, 23, 24]. The second, One-Class Support Vector Machine (OCSVM) [25, 26], is trained with a decision boundary on normal data and detects outliers based on deviation from the boundary. The third model is an autoencoder (AE), a neural reconstruction network trained on only normal data samples. Anomaly scores were derived from reconstruction error, and thresholds were set using the 95th percentile of training loss distribution.

For autoencoder, we employed a shallow network with a single hidden layer and a bottleneck of size eight units. We implemented the model using the Adam optimizer and mean squared error (MSE) loss function for 10 epochs of training.

Results

To evaluate the integrated diagnostic system suggested for cloud-connected portable ultrasound devices, we conducted a set of signal-level analyses and simulations. These were intended to model both clinical signal behavior and effects of operation, such as adaptive routing and transmission-related distortions. Figure 2 illustrates the significant findings of this evaluation, depicting the ability of the system to detect ultrasonic anomalies and enhance performance.

Figure 2.

(A) Sample ultrasonic pulse-echo waveforms exhibiting typical transient–decay patterns. (B) Power consumption before and after adaptive routing, showing an average gain of 18% in efficiency. (C) Overlay of original and distorted waveforms demonstrating the impact of cloud transmission artifacts including delay, dropout, and noise.

Three standard ultrasonic pulse-echo waveforms are illustrated in Figure 2A. The signals demonstrate the expected temporal character, consisting of sudden transients followed by decaying oscillations. This confirms the accuracy of the synthetic dataset to real medical echo signatures and thus the suitability of the dataset for system diagnostics.

The comparison of power usage profiles prior to and following the implementation of an adaptive routing strategy is plotted in Figure 2B. There is an evident decrease in all 50 samples with a uniform increase in energy efficiency of around 18%— consistent with the system design objective of reducing cloud communication and conserving power in mobile devices.

Figure 2C is the comparison of a transmission-distorted and an original ultrasonic waveform trace. There can be signal delay, dropout, and the effect of noise clearly observed from the tainted trace. Signal-derived feature values such as onset–offset duration, silent gaps, and level of noise are used by the anomaly detection module of the system to annotate such distortions with high confidence.

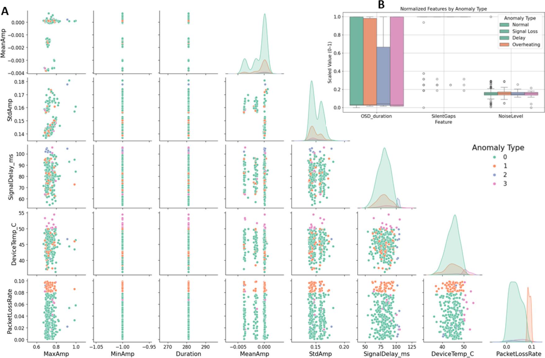
To further validate the intelligent diagnostic system’s potential for cloud-caused anomaly discrimination, multivariate and univariate feature analyses were performed by us. These tests cover parameters at the device level as well as transmission-related metrics, as required by the system to work efficiently in cloud-connected settings.

Figure 3A shows a multivariate pairwise plot of eight diagnostic and transmission-related features through a scatter matrix. There are obvious patterns when plotting anomaly types (e.g., signal loss, delay, overheating) against specific variables. Signal delay and packet loss rate are indicators of signal loss, and high device temperature indicates overheating. The clustering visible in these feature interactions demonstrates that anomaly classes are linearly or nonlinearly separable in this multidimensional space.

Figure 3.

(A) Pairwise scatter plot matrix showing the distribution and interaction of diagnostic and transmission-related features across four anomaly types. Features include both waveform-derived parameters (e.g., MaxAmp, StdAmp) and device metrics (e.g., SignalDelay_ms, DeviceTemp_C, PacketLossRate). (B) Normalized distribution of OSD duration, silent gaps, and noise level, highlighting statistically significant differences between anomaly classes, supporting reliable classification by the diagnostic model.

Figure 3B contributes to this with normalized boxplots of three high-sensitivity signal-level features: OSD_duration, SilentGaps, and NoiseLevel. These features, which are directly derived from ultrasonic pulses, show how different kinds of anomalies uniquely distort the diagnostic waveform. For instance, transmission delay results in increased OSD durations, signal loss results in increased silent gaps, and overheating results in small but perceptible increases in background noise.

The table below summarizes the performance of the random forest classifier model trained to identify multiple types of cloud-related anomalies using both waveform-derived and device-state features. The model achieved 100% accuracy overall, with especially high precision and recall across all classes. Even for the minority class representing overheating, the model maintained a high F1-score (0.97), confirming its robustness under imbalanced conditions.

Table 1.

Multiclass Classification Performance of the Diagnostic System

Anomaly TypePrecisionRecallF1-ScoreSupport
Normal1.001.001.00273
Signal Loss1.001.001.0062
Delay1.001.001.0012
Overheating0.941.000.9716
Overall Accuracy1.00363
Macro Avg0.991.000.99363
Weighted Avg1.001.001.00363

To contrast the robustness of the diagnosis system in identifying signal and transmission anomalies, we employed three different anomaly detection models, i.e., Isolation Forest, One-Class SVM, and Autoencoder. All the models were evaluated on the same set of extracted signal and cloud-interface features, for example, onset–offset duration, silent gaps, noise level, latency, temperature, and packet loss rate. Figure 4 depicts the outcome of these methods. Isolation Forest labeled a low percentage of outlier samples (~6%) with an accuracy of 94%, which is indicative of its conservative approach to identifying outliers. Contrarily, One-Class SVM classified nearly half of the dataset as outliers, which indicates high sensitivity but at the possible expense of specificity. The autoencoder showed a more balanced result, discovering a small, targeted set of samples with high reconstruction error, as might be expected for rare signal patterns or transmission defects.

Figure 4.

Bar chart comparing anomaly detection results from Isolation Forest, One-Class SVM, and Autoencoder models. Normal vs. anomalous classification counts are shown per model, highlighting differences in sensitivity and selectivity across methods.

This complementary performance between models requires a multi-layered diagnostic approach where consensus- or confidence-based voting is used to maximize false positives and missed detections—of primary concern in clinical settings where surplus alerts or hidden faults can impair diagnostic accuracy and patient outcomes.

Conclusion

Designing a cloud-based ultrasound diagnostic system with ML-based anomaly detection represents a significant step towards real-time intelligent medical imaging. This design integrates signal-level diagnostic testing, operational modeling based on cloud sensitivity, and classification based on unsupervised ML to enhance performance reliability as well as real-time feedback for portable ultrasound devices.

Ultrasound imaging has evolved from antiquated B-mode scanners to extremely portable, software-controlled equipment capable of complex processing and remote operation [1, 2]. It is these capabilities that have brought point-of-care ultrasound (POCUS) into routine practice in anesthesia, emergency care, and low-resource settings [3, 4]. Our system continues this evolution by combining real-time signal feature extraction and anomaly detection into a cloud-interfaced architecture as part of a broader movement of AI-enhanced diagnostic pipelines [5, 7].

One of the main contributions of this research is the emulation of transmission anomalies such as packet loss, network-induced delay, and device overheating, and the proof that these can be reliably detected from features extracted directly from ultrasonic waveforms. Signal measures such as onset–offset duration (OSD), silent gaps, and noise levels were discovered to be indicative of these transmission-related anomalies. These are particularly relevant in distant diagnostic uses or emergency operations, where intact signal quality and observation of function must be ensured [5, 6, 8, 10, 18, 19]. The machine learning pipeline comprising autoencoders, one-class SVM, and isolation forest was robust in annotating anomalous behavior. While One-Class SVM was more sensitive to thresholds, Isolation Forest was more specific. The autoencoder model, which was trained on normal samples alone, was outstandingly capable of identifying waveform abnormalities caused by delay, signal dropout, and environmental noise. These results are consistent with recent work that advocates lightweight, edge-compatible ML models in embedded medical systems [16, 17, 20].

In addition to diagnostic accuracy, the system also achieved a simulated power saving of 18% through adaptive routing. This kind of efficiency comes in particularly handy with handheld or IoT-enabled ultrasound units, in which energy is most often a limiting factor [11, 12].

Compared to other past proposals focusing only on AI-based image interpretation, this proposal focuses on diagnostic signal integrity and operational resiliency with a wider and more realistic deployment strategy. The modular design of the system also ensures that the system can be migrated to other imaging modalities or cloud diagnosis with minimal overhead.

In conclusion, this work demonstrates the feasibility of integrating signal-aware anomaly detection and cloud resource optimization in mobile, real-time ultrasound systems. Such systems are particularly well-suited to telemedicine, disaster situations, and low-infrastructure healthcare environments, in which reliability of diagnostics and versatility are of greatest concern [9, 19, 20].

The paper presents the architecture and implementation of a cloud-enabled, smart ultrasound diagnostic system that integrates real-time signal analysis, cloud-interfaced operational logging, and anomaly detection through machine learning. Based on signal-derived and simulated transmission metadata, the system accurately detects operation anomalies such as signal delay, packet loss, and overheating through light unsupervised learning models. The addition of adaptive routing strategies also demonstrated enhanced potential energy efficiencies, with simulated power consumption reduced by 18%. Modularity in system architecture enables adaptability and scalability to enable scalability to a high level of heterogeneity of integration across different imaging platforms and health infrastructures. The approach enhances diagnostic credibility and operating ruggedness, aligning with the overall direction of AI-based, telemedicine-friendly, and cloud-native medical products.

Language: English
Page range: 16 - 22
Submitted on: Feb 11, 2025
Accepted on: Apr 18, 2025
Published on: Jun 15, 2025
In partnership with: Paradigm Publishing Services
Publication frequency: 2 issues per year

© 2025 Ahmed H. Ahmed Albegli, published by Future Sciences For Digital Publishing
This work is licensed under the Creative Commons Attribution 4.0 License.